RU
КУЛЬДАРА – МНОГОСЛОЙНЫЙ ПАЛЕОЛИТИЧЕСКИЙ ПАМЯТНИК НА ЮГО-ЗАПАДЕ ТАДЖИКИСТАНА
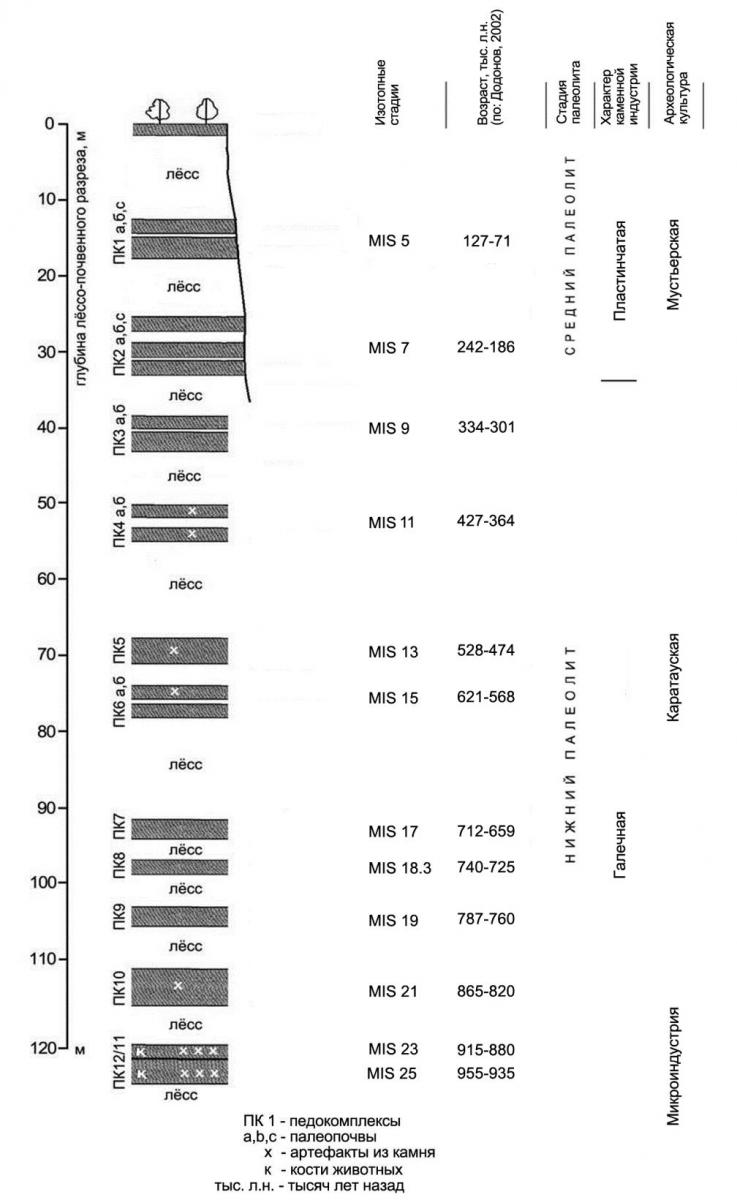
Древнейшие страницы истории Центральной Азии связаны со следами раннепалеолитического человека на территории Таджикистана. К ним относятся палеолитические стоянки, приуроченные разновременным погребенным палеопочвам в лёссово-почвенных разрезах на юго-западе республики. Одна из этих стоянок – Кульдара, расположенная в одноименном ущелье близ сельского джамоата Лохути Ховалингского района. В 80-е годы прошлого века в основании разреза В.А. Рановым были обнаружены культурные слои самой древней на сегодняшний день в Центральной Азии стоянки людей (1,0-0,9 млн. лет назад), а также следы пребывания первобытного человека мустьерского времени [6, с.201; 11, с.161]. Проведенные в 2021-2024 гг. в разрезе геоархеологические исследования позволили обнаружить каменные артефакты в нескольких разновременных педокомплексах, расположенных выше по профилю обнажения [16, с.93].
Ущелье имеет протяженность около 6 км, по его дну протекает ручей, впадающий слева в р.Обимазар. По левому борту ручья, чуть ниже места впадения в него справа ручья Мутак, высота разреза достигает около 120 м, по правому – 84 м. На участке обнажения разреза просматривается переслаивание лёссовых толщ желтовато-серого цвета (мощность 2-8 м) и прослоек погребенных палеопочв буровато-коричневого цвета (мощность 2-6 м). Лёссы формировались в стадии ледниковых периодов при холодном и сухом климате, палеопочвы – в периоды межледниковий, при влажном и теплом климате. Период межледниковья в неоплейстоцене имел продолжительность 30-60 тыс. лет, и иногда прерывался короткими холодными фазами 2-5 тыс. лет, в силу чего палеопочва может быть разделена тонкими прослойками лёсса и состоять из нескольких подпочв, образующих педологический комплекс (ПК). На данном участке разреза в Кульдаре по профилю зафиксировано 12 педокомплексов, ниже по течению дополнительно просматриваются еще 3-4 педокомплекса. Тем самым, геологический разрез отражает неоднократную смену глобального климата: межледниковье – стадия ледникового периода – межледниковье. На юго-западе Таджикистана таких циклов «педокомплекс-лёсс» в лёссово-почвенных разрезах может быть от одного (Дусти, Гофилабад) до более чем 40 (Чашманигар, Карамайдан).
Археологический материал в основном приурочен педокомплексам и лишь единичные артефакты встречаются в лёссах. Нумерация педокомплексов по разрезу проводится сверху вниз, и, следовательно, с возрастанием их номера удревняется и их возраст. Подобные памятники с особыми условиями сохранности разновременных культурных слоёв В.А. Ранов относит к «лёссовому палеолиту» [21, с. 25]. Важной особенностью этого направления в изучении каменного века является четкая стратиграфическая позиция педокомплексов в разрезе и возможность определения возраста каждого из них, а соответственно и содержащегося в нем археологического материала, посредством их корреляции со стадиями изотопно-кислородной шкалы [18, с.91]. Обобщив все материалы исследованных в 70-90-х годах прошлого века памятников лёссового палеолита, В.А. Ранов разделил всю их каменную индустрию на три группы: индустрия мелких отщепов и нестандартизированных мелких орудий (ПК 11,12); каратауская нижнепалеолитическая культура с характерной галечной индустрией (педокомплексы 6,5,4); мустьерская (среднепалеолитическая) культура (ПК1,2) [10, с.32].
После обнаружения во время разведочных работ в 1980 г. первых двух отщепов в 11-й палеопочве, археологические раскопки под руководством В.А. Ранова были проведены в 1981-1984,1997 гг. [6, с.216; 7, с.116; 8, с.53]. Культурный слой стоянки был приурочен нижней части 11-й палеопочвы (мощность 0,5-0,7 м), 12-я палеопочва залегала непосредственно под ней (мощность 1,1-1,8 м). Коллекция состоит из 96 находок, из них только 40 отнесены к артефактам из камня, остальные представлены мелкими гальками и фрагментами костей мелких копытных животных [12, с.74-75]. Для расщепления древний человек использовал кварцит, фельзит-порфир, сланец, в редких случаях применялся кремний. Среди артефактов присутствуют нуклеусы многоплощадочного, площадочного и дисковидного типов, гальки со сколами, пластинчатые отщепы, отщепы, дольки, обломки и осколки, среди орудий выделены проколки (?), скребла, грубые скребки, зубчатые и выемчатые орудия, обломок бифасиального орудия. Особенностью каменной индустрии Кульдары являются небольшие размерами артефактов – в основном до 4 см, микролитический облик имеют и нуклеусы. Этот признак микролитоидности не наблюдается ни в одной из каменных индустрий плейстоценовых почв Таджикистана. При расщеплении камня использовалась галечная техника, при которой поверхность нуклеуса не подготавливалась специально, и удары отбойником наносились по галечной поверхности, либо по негативу предыдущего скола. Учитывая небольшие размеры и аморфность каменных изделий, В.А. Ранов считает Кульдару как одну из особенностей раннепалеолитических памятников с микроиндустрией Омо, наряду с такими памятниками как Вертешсёлёш в Венгрии, Бильценгслебен в Германии, Омо в Африке [12, с.74]. В последние десятилетия раннепалеолитические стоянки с мелкими изделиями из камня также были обнаружены в Израиле (Бизат-Рухама) [22, с.163], Прикаспийской низменности (Рубас-1) [1, с.62], Казахстане (Кошкурган-1 и -2, Шоктас 1-3) [3, с.11], Китае (Сяочанлян, Дунгуто) [9, с.44]. Древние люди использовали микроиндустрию не из-за отсутствия подходящего материала крупных размеров, а потому, что меняющиеся природно-климатические условия среды их обитания приводили к изменениям адаптационных стратегий. Каменная индустрия стоянки в 11-12 педокомплексах, по мнению В.А. Ранова, представляет собой особый индустриальный вариант галечной культуры в палеопочвах, относящийся к начальному этапу всего развития галечных культур в каменного веке Таджикистана [6, с.228].
В 80-е годы прошлого века, согласно общей палеомагнитной и геологической стратиграфии палеопочв региона, находки в 11-й палеопочве имели возраст 750-720 тыс. лет, в 12-й – 850-820 тыс. лет [6, с.226]. По термолюминесцентному методу датирования возраст стоянки 650-820 тыс. лет [7, с.134]. В последние годы, в связи с появлением метода датировок палеопочв по корреляции их со стадиями изотопно-кислородной шкалы, стоянка в 11-12 педокомплексах Кульдары датируется 955-880 тыс. лет назад [4, с.127,183].
Абсолютна иная по технологии расщепления индустрия получена В.А. Рановым в 1982 г. в раскопе, заложенном в 10 м западнее раскопа 1981 г. На уровне 11-го педокомплекса был обнаружен культурный слой стоянки позднеплейстоценового времени [11, с.188]. По мнению В.А. Ранова, слои педокомплекса здесь были размыты, а позднее замещены болотными отложениями и отложениями песчаных линз временных водотоков. С покрывающими их прослойками лёссовидного суглинка и был связан культурный слой стоянки. Он представлен очажным пятном 92х26 см и глубиной 10-15 см, фрагментами костей и зубов животных вокруг него, а также находками из камней. К последним относятся 48 артефактов и 24 крупные гальки. Среди артефактов имеются нуклеусы, пластины, отщепы, гальки со сколами, обломки и осколки. К орудиям отнесены 2 чоппера и ретушированные пластины. Сырьевым материалом служили в основном кварцитовый песчаник и кварцевый порфир. По ряду элементов (пластинчатая технология, значительная доля орудий) каменная индустрия относится к мустьерскому времени, которые сопоставляются с индустрией стоянки Огзи-Кичик [11, с.194]. AMS-дата по образцам, отобранным в 1997 г. из этой пещерной стоянки в Дангаринском районе, соответствует 38,4 тыс. лет [13, с.5]. Однако анализ образцов из этой же коллекции радиотермолюминесцентным методом показал возраст 134-87 тыс. лет назад [5, с.55].
Возобновление исследований на разрезе Кульдара последовало в 2021-2024 гг. в рамках международного проекта ТНОСА (The Timing and Ecology of the Human Occupation of Central Asia – Хронология и природные условия расселения древнего человека в Центральной Азии), целью которого являлось привлечение комплекса естественнонаучных и археологических методов для разработки детальной хронологической схемы эволюции природной среды и освоения древним человеком предгорных районов за последний один миллион лет [16, с.93].
Проектом было предусмотрено междисциплинарное исследование лёссово-почвенных разрезов Кульдара, Хонако и Оби-Мазар в Ховалингском районе. Если ранее археологические исследования проводились в основном с привлечением геологических методов, то геоархеологическими исследованиями было предусмотрено широкое использование других наук о Земле – географии, геофизики, химии, ботаники, биологии и других, с проведением анализов образцов почвы и камня в ведущих лабораториях Дании. В Кульдаре был проведен подробный анализ и описание вскрытых отложений, отбор образцов на серию естественнонаучных анализов (гранулометрия, химсостав, палинология, палеомагнитный, микростроение отложений, оптико-люминесцентное и космогенное датирование). Результаты исследований позволили «прочитать» особенности экологической ситуации во время обитания древних людей на разных этапах палеолита, уточнить возраст каждой палеопочвы новейшими методами абсолютного датирования, выявить климатические изменения в данном районе за последний миллион лет [19; 20, с.234; 16, с.96-97].
На правом борту обнажения Кульдара были заложены 5 небольших раскопов и серия геологических траншей, охвативших по высоте весь профиль разреза от голоценовой почвы до основания разреза общей мощностью 84 м. В результате значительного объема палеогеографических работ проведено комплексное изучение строения лёссово-почвенных серий, получена детальная магнитостратиграфическая шкала и непрерывная кривая изменения магнитной восприимчивости.
Археологические раскопы были заложены в педокомплексах 4,5,9,10 и 11, один артефакт был обнаружен в свежеобвалившемся блоке из педокомплекса 6. В нижних педокомплексах (ПК9 и 11) были обнаружены лишь мелкие гальки. В педокомплексе 10, располагавшемся на глубине 72-75 м, среди двух находок имелся первичный отщеп подквадратной формы. По корреляции этого педокомплекса со стадией MIS 21 изотопно-кислородной шкалы, этот педокомплекс, а соответственно и найденный отщеп, датируются 820-865 тыс. лет назад [16, с.94-96].
Более информативные артефакты обнаружены в педокомплексах 4 и 5. В ПК 5, залегавшем на глубине 42-44,5 м, на высоте 1,5 над карбонатной коркой обнаружен одноплощадочный однофронтальный нуклеус. Расщепление ядрища проводилось при помощи жесткого отбойника, без предварительной подготовки поверхности речной гальки. Судя по негативам сколов на фронте скалывания нуклеуса, расщепление проводили по продольно-конвергентной схеме, проведя усечение основания поперечным сколом. В педокомплексе 4, залегающем на глубине 27-29,5 м, обнаружено два нуклеуса и четыре мелкие гальки. Первый нуклеус имел две рабочие площадки и два фронта скалывания с конвергентной схемой расщепления. Второй нуклеус имел подкубовидную форму, по типу ортогональный двуфронтальный. Галечная технология расщепления камня прослеживается в обоих педокомплексах. Наличие галечной корки у находок из ПК10 и ПК6 также указывает на использование галечной технологии. Возраст педокомплекса 5 по его корреляции со стадией MIS 13 изотопно-кислородной шкалы находится в пределах 528-474 тыс. лет назад, педокомплекс 4 коррелируется с MIS 11 и его возраст определяется 427-364 тыс. лет назад [4, с.183]. Нижнепалеолитическая культура на юго-западе Таджикистана, характеризующейся как галечная индустрия, но своими специфическими особенностями – с развитием зубчато-выемчатых форм и типов орудий, близких к тейякским, была названа В.А. Рановым каратауской [10, с.32].
Исследования в рамках проекта ТНОСА в 2021-2024 гг. с участием автора позволили выявить следы обитания древнего человека в Кульдаре еще в 4-х педокомплексах и, таким образом, с учетом исследований В.А. Ранова в 80-е годы прошлого века, в одном лёссово-почвенном разрезе просматриваются 7 разновременных уровней обитания, датированных от 0,95 млн. лет до 38 тыс. лет назад. Благодаря новым исследованиям, лёссово-почвенный разрез Кульдара стал единственным памятником в Центральной Азии, а возможно и в Евразии, в котором присутствуют все три группы каменных индустрий – индустрия мелких отщепов и орудий (ПК 11,12); галечная индустрия (педокомплексы 10,6,5,4); мустьерская (среднепалеолитическая) культура.
Самая ранняя каменная индустрия в Кульдаре связана с самыми древними местонахождениями с микроиндустрией, отличной от классического Олдувая, возраст которых 2,5-2,2 млн. лет. Они находятся в северной части Восточной Африки (стоянки Омо, Боури, Лакалалей и др.), где обнаружены останки Australopithcus aethiopicus и Australopithcus garhi, поэтому исследователи полагают, что ранние мигранты из Африки (Homo ergаster - erectus) являлись носителями не только олдувайской галечной традиции, но и традиции микроиндустрии, и связывают это с гипотезой о двух доашельских миграционных потоках древних людей из Африки в период 2-1,5 млн. лет назад. По мнению академика А.П. Деревянко, вначале это было движение популяций ранних гоминид с наиболее архаичной галечной индустрией олдувайского типа, а чуть позднее (1,7-1,5 млн. л.н.) – носителей микролитоидной индустрии [2, с.21].
С миграционной волной из Африки Ноmо еrеctus с микроиндустией Омо достиг территории современного Таджикистана, судя по данным раскопок ПК 11 и 12 стоянки Кульдара, примерно в период 0,88-0,95 млн. лет назад. Судя по фаунистическому горизонту Лахути-II, расположенному на том же стратиграфическом уровне недалеко от Кульдары, в районе стоянки обитали такие представители фауны, как слоны, лошади, олени, саблезубые кошки, древние собаки, гиены, пантеры, антилопы, быки. Палинологические исследования ПК 11-12 в Кульдаре показали, что во время существования стоянки древесные растения преобладали над травянистыми растений и были представлены хвойными и широколиственными лесами, произраставшими на склонах гор, а в предгорьях преобладали лесостепные и степные (саванноидные) растения. Многие компоненты дендрофлоры Кульдары в наши дни характерны для районов с муссоным климатом. Это свидетельствует о том, что около миллиона лет тому назад горы Гиндукуша не были такими высокими, что позволяли летним муссонам проникать в Среднюю Азию со стороны Индийского океана [4, с.127].
Вторая группа каменных индустрий «лёссового палеолита» связана с характерной галечной технологией расщепления камня, с традиционными для олдувайской культуры чопперами и другими крупными галечными орудиями (педокомплексы 10-4). Каменные индустрии этой группы В.А. Ранов относит к нижнепалеолитической каратауской культуре, просуществовавшей почти 500 тысяч лет. На Кульдаре к этой культуре отнесены немногочисленные находки из педокомплексов 10,6,5 и 4.
Относительно влажный и теплый климат межледниковых периодов, развлетвленная сеть водных источников в районе распространения лёссов на юго-западе Таджикистана, влаголюбивая растительность, разнообразная фауна создавали необходимые предпосылки для неоднократного заселения и существования здесь Homo erectus в эпоху раннего палеолита. Приуроченность практически всех местонахождений “лёссового палеолита” погребенным палеопочвам указывает на время заселения древних людей лёссовых областей Таджикистана в период теплого и влажного климата межледниковья, благоприятного для развития палеосреды и жизнедеятельности человека. За период существования каратауской культуры пребывание Homo erectus прерывалось здесь 8-ю холодными стадиями (880-865, 820-787, 760-740, 725-712, 659-621, 568-528, 474-427, 364-334 тысячи лет назад) [4, с.183], с наступлением которых он мигрировал в южные широты. В эти периоды сухого и холодного климата формировались толщи лёссовых прослоек между педокомплексами. Артефакты в этих толщах практически отсутствовали, и лишь в лёссе над 6-м педокомплексом в Хонако-II и Лахути-IV были найдены несколько артефактов. Это свидетельствует о том, что в период холодной стадии 568-528 тыс. лет назад были короткие периоды потепления, во время которых Homo erectus возвращались на территорию современного Таджикистана.
Третью группу каменных индустрий «лёссового палеолита» В.А. Ранов связывает с мустьерской культурой [10, с.32]. Пластинчатая технология расщепления камня характерна для верхних двух педокомплексов, расположенных в верхних частях лёссово-почвенных разрезов, как, например, в Хонако-III, Дусти, Гофилабаде [14, с.18; 15, с.199; 17, с.265]. Однако в Кульдаре мустьерский слой расположен на уровне 11-го педокомплекса, в основании разреза на глубине около 100 м. Это указывает на то, что в Кульдаре во время своего пребывания неандертальцы жили не на поверхности лёссового холма того периода, а в его основании, на террасовидном уступе в русле древнего ручья, поближе к воде. Каменные индустрии первых двух педокомплексов более широко представлены в разрезах Хонако-III и Дусти и отнесены В.А. Рановым к фации леваллуа-мустье. Возраст эфемерной стоянки во втором педокомплексе определяется на основании корреляции последнего со стадией 7 изотопно-кислородной шкалы (MIS7) и находится в пределах 242-186 тыс. лет назад. Первый педокомплекс коррелируется со стадией MIS5 и его возраст определяется в пределах 127-71 тыс. лет назад. В Хонако-III находки также обнаружены в интерстадиале (короткий промежуток потепления при холодном климате) над ПК 1, коррелируемый с MIS3, а также в двух интерстадиалах над ПК2.
Исследования Кульдары показали, что цикличность палеоклиматических событий определяла чередование оптимальных и менее пригодных природных условий для жизни древнего человека, что обуславливало многократный характер заселения им лёссовых областей юго-запада Таджикистана. Кульдара является древнейшим памятником в Центральной Азии и наиболее стратифицированным местонахождением, поэтому его значимость состоит в том, что памятник является ценным хронологическим репером, указывающим время первоначального заселения региона [8, с.53-56]. Вместе с тем, археологический материал из других педокомплексов Кульдары, лежащих выше ПК11-12 и, соответственно, более молодых по возрасту, указывает на многослойность этого памятника и отражает последовательную смену трех древних разновидностей технологий расщепления камня – микроиндустрии, галечной и пластинчатой.
Литература
1. Анойкин А.А. Древнейшие мелкоорудийные индустрии в Евразии: новые данные // Первоначальное освоение человеком континентальной и островной части Северо-Восточной Азии. – Мат-лы междунар. симпозиума, Южно-Сахалинск, 18-25 сент. 2010 г. – Южно-Сахалинск: СахГУ, 2010. – С. 62-71.
2. Деревянко А.П. Заселение человеком Евразии в раннем палеолите // Древнейшие миграции человека в Евразии. Мат-лы Межд. симпозиума, 6-12 сентября 2009 г., Махачкала. – Новосибирск: Изд-во ИАиЭ СО РАН, 2009. – С. 5-28
3. Деревянко А.П., Петрин В.Т., Таймагамбетов Ж.К. Раннепалеолитические микроиндустриальные комплексы в травертинах Южного Казахстана. – Новосибирск: Изд-во ИАЭТ СО РАН, 2000. – 300 с.
4. Додонов А.Е. Четвертичный период Средней Азии: Стратиграфия, корреляция, палеогеография. – М.: ГЕОС, 2002. – 250 с. – (Тр. ГИН РАН; Вып. 546).
5. Лаухин С.А., Ранов В.А., Власов В.К., Худжагелдиев Т.У., Волгина В.А., Кирюхин О.В., Афиногенов А.М. Радиотермолюминесцентное датирование плейстоцена Южного Таджикистана / // Археологические работы в Таджикистане. – Душанбе, 2004. – Вып. XXIX. – С. 36-70.
6. Ранов В.А. Работы отряда по изучению каменного века в 1981 г. // Археологические работы в Таджикистане. – Душанбе: Дониш, 1988. – Вып. XXI (1981 г.). – С. 201-233.
7. Ранов В.А. Работы отряда по изучению каменного века в 1983 г. // Археологические работы в Таджикистане. – Душанбе: Дониш, 1991. – Вып. XXIII (1983 г.). – С. 116-142.
8. Ранов В.А. Каменный век // История таджикского народа. – Душанбе, 1998. – С.45-123. – Т. 1: Древнейшая и древняя история.
9. Ранов В.А. Ранний палеолит Китая. – М., 1999. – 110 с.
10. Ранов В.А. Лёссово-почвенная формация южного Таджикистана и лёссовый палеолит // Археологические работы в Таджикистане. – Душанбе, 2000. – Вып. XXVII. – С. 21-49.
11. Ранов В.А., Амосова А.Г. Работы отряда по изучению каменного века в 1982 г. // Археологические работы в Таджикистане. – Душанбе: Дониш, 1990. – Вып. XXII (1982 г.). – С. 161-194.
12. Ранов В.А., Додонов А.Е., Ломов С.П., Пахомов М.М., Пеньков А.В. Кульдара – новый нижнепалеолитический памятник южного Таджикистана // Бюллетень Комиссии по изучению четвертичного периода. – Москва, 1987. – №56. – С. 65-75
13. Ранов В.А., Лаухин С.А., Дж. Ван дер Плихт. Первое серийное радиоуглеродное датирование мустье Таджикистана // Российская археология. – №2. – 2002. – С. 5-16.
14. Ранов В.А., Лаухин С.А., Худжагелдиев Т.У., Шефер Й. Раскопки второй палеопочвы стоянки Хонако III в 1997 году// Археологические работы в Таджикистане. – Душанбе, 2003. – Вып. XXVIII. – С. 18-63.
15. Ранов В.А., Худжагелдиев Т.У., Шефер Й. Предварительное сообщение о работах на плато Харгушон (Южный Таджикистан) // Проблемы археологии, этнографии, антропологии Сибири и сопредельных территорий. – Новосибирск, 2001. – Том VII. – С. 199-209.
16. Худжагелдиев Т.У., Анойкин А.А., Рыбалко А.Г., Курбанов Р.Н. Геоархеологические исследования памятников «лёссового палеолита» в долине р. Оби-Мазар весной 2021 г. // Археологические работы в Таджикистане. – Душанбе: ООО «Шохин-С», 2023. – Вып. XLIV. – С. 93-110.
17. Худжагелдиев Т.У., Колобова К.А., Шнайдер С.В., Кривошапкин А.И. Первое свидетельство бифасиальной технологии в среднем палеолите Таджикистана // Между Гоббсом и Руссо. Первобытная война. – Stratum plus. – СПб.-Кишинев-Одесса-Бухарест, 2019. – №1. – С. 265-277.
18. Bassinot F.C., Laberie L.D., Vincent E., Quidelleur X., Shackleton N.J., Lancelot Y. The astronomical theory of climate and the age of the Brunhes-Matuyama magnetic reversal // Earth and Planetary Science Letters. – 1994. – Vol. 126. – Р. 91-108.
19. Buylaert J.-P., Challier A., Kulakova E.P., Taratunina N.A., Thomsen K.J., Utkina A.O., Sosin P.M., Tokareva O.A., Anoikin A.A., Khujageldiev T.U., Karayev A., Ubaydulloev N.K., Murray A.S., Kurbanov R.N. A luminescence dating study of the upper part of the loess-palaeosol sequence at Kuldara, Khovaling Loess Plateau, Tajikistan // Quaternary Geochronology. - Volume 82, June 2024, https://doi.org/10.1016/j.quageo.2024.101545
20. Kulakova E.P., Anoikin A.A., Khudzhageldiev T.U., Sosin P.M., Tokareva O.A., Karaev A.Ch., Rybalko A.G., Kurbanov R.N. Stratigraphy and geochronology of the early Paleolithic site of Kuldara (Tajikistan) // Geomorphology and Paleogeography. – 2024, V.55, №2, р. 234-255.
21. Ranov V.A. The loessic paleolith: A new term in Paleolithic terminology // Current Research in the Pleistocene. – Vol. 4. – Main, 1987. – P. 25-26.
22. Ronen A., Burdukiewicz J.-M., Laukhin S. et al. The Lower Palaeolithic site Bizat Ruhama in the Northern Negev, Israel // Archaeol. Korrespondenzblatt. – Mainz: Verlag des Römisch-Germanischen Zentralmuseums, 1998. – Bd. 28, H. 2. – S. 163–173.
Худжагелдиев Тура Урунович
ведущий научный сотрудник отдела археологии Института истории, археологии и этнографии им. А.Дониша Национальной академии наук Таджикистана

Рис. 1. Каменная микроиндустрия стоянки в педокомплексах 11 и 12 (по: Ранов и др., 1987)

Рис. 2. Артефакты из ПК 10 (1), ПК 6 (2), ПК 5 (3) и ПК 4 (4,5)

Рис. 3. Артефакты из мустьерского слоя (по: Ранов, Амосова, 1990)

Рис. 4. Стратиграфия лёссово-почвенного разреза Кульдара и возраст археологического материала
